Slope Defletion Equations for solving indeterminate structures
Method of Slope-Deflection Equations belongs to displacement method of analysis for solving indeterminate structures.
When a structure is loaded, specified points on it called nodes will
undergo unknown displacements which are known as degrees of freedom.
The number of these unknowns is referred to as the degree of
kinematic indeterminacy of structure.
The Displacement method requires;
the unknown displacements (slope and deflection) to be written in terms of the loads by using the load-displacement relations.
these equations are solved for the displacement.
after getting the displacements, the unknown loads are determined from the compatibility equations using the load displacement relations.
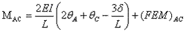
In general the Slope-deflection equations for a beam AC (both A and C fixed-ends) can be written as follows;


You are advised to visit solved Problem 7-4 which explains the step-wise and complete application of slope-deflection equations for solving indeterminate structures.
Most of the structures being used in construction are indeterminate in nature. Some of the common methods to solve for indeterminate structures are; method of consistent deformation (compatibility condition), moment distribution method, slope-deflection equations, flexibility method, Energy theorems, stiffness method etc.
You can also use our Moment Distribution Calculator for solving indeterminate beams
Use our Fixed Beam Calculator to determine fixed-end moments for different loading cases.
Stress Transformation Calculator
Calculate Principal Stress, Maximum shear stress and the their planes
Calculator for Moving Load Analysis
To determine Absolute Max. B.M. due to moving loads.
Bending Moment Calculator
Calculate bending moment & shear force for simply supported beam
Moment of Inertia Calculator
Calculate moment of inertia of plane sections e.g. channel, angle, tee etc.
Reinforced Concrete Calculator
Calculate the strength of Reinforced concrete beam
Moment Distribution Calculator
Solving indeterminate beams
Deflection & Slope Calculator
Calculate deflection and slope of simply supported beam for many load cases
Fixed Beam Calculator
Calculation tool for beanding moment and shear force for Fixed Beam for many load cases
BM & SF Calculator for Cantilever
Calculate SF & BM for Cantilever
Deflection & Slope Calculator for Cantilever
For many load cases of Cantilever
Overhanging beam calculator
For SF & BM of many load cases of overhanging beam
Civil Engineering Quiz
Test your knowledge on different topics of Civil Engineering
Research Papers
Research Papers, Thesis and Dissertation
List of skyscrapers of the world
Containing Tall building worldwide
Forthcoming conferences
Containing List of civil engineering conferences, seminar and workshops
Profile of Civil Engineers
Get to know about distinguished Civil Engineers
Professional Societies
Worldwide Civil Engineers Professional Societies
Keep visiting for getting updated or Join our mailing list
PleaseTell your Friends about us if you find our website useful